为什么同样大的物体重量不同《测量物质的密度》
物理 八年级上册第六章第3节《测量物质的密度》《测量物质的密度》一、教学目标(一)知识与技能1.通过实验进一步理解密度的物理意义。2.学会用量筒测固体和液体的体积。3.学会用天平和量筒测固体和液体的密度。(二)过程与方法1.通过探究活动学会测量液体和固体的密度。…
《测量物质的密度》
一、教学目标

(一)知识与技能
1.通过实验进一步理解密度的物理意义。
2.学会用量筒测固体和液体的体积。
3.学会用天平和量筒测固体和液体的密度。

(二)过程与方法
1.通过探究活动学会测量液体和固体的密度。
2.学会利用物理公式间接地测定一个物理量的科学方法。

(三)情感态度和价值观
1.养成物理知识与实际相联系的意识和习惯,在实际物理情境中体会物理过程,学习物理知识。
2.通过对测量固体和液体密度过程中,从产生误差的角度进行评估,培养学生严谨的科学态度。
二、教学重难点
教学重点:
用量筒测物体的体积,测量固体和液体的密度。
教学难点:
测量固体和液体的密度实验中,从产生误差的角度进行评估。
三、教学资源准备
多媒体课件、七三课堂
四、教学过程
故事引入
古时候,有一个叙拉古王国,它的国王交给金匠一定质量的黄金,让金匠为自己打造一条纯金的项链,当王冠打造完毕交给国王时,国王发现这个项链精美无比,但国王却怀疑金匠偷窃了他的黄金而用其它便宜的金属偷梁换柱。
国王令人用秤去称,结果项链的质量与国王交给金匠的黄金的质量是相同的。
那么怎么鉴定这个皇冠是不是金的?金匠有没有偷梁换柱呢?
学生讨论交流
讲解:通过密度表可知,各种物质的密度是一定的,不同物质的密度一般不同,我们要想知道项链是否是纯金的,可以通过测量项链的密度,从而知道项链是否是纯金打造的。那么,如何测量物质的密度呢?
思考:根据我们学过的密度公式,要测量物质的密度,我们需要知道什么物理量呢?
项链的形状不规则,我们怎么求出它的体积呢?
量筒的使用
让学生观察量筒,思考下面几个问题:
(1)这个量筒是以什么单位标度的?毫升(mL)和立方厘米(cm³)之间是什么换算关系?
(2)该量筒的最大测量值(量程)是多少?量筒的分度值是多少?
(3)课本图6.3-1中画出了使用量筒读数时的几种做法。请指出哪种做法正确,哪种错误,它们分别错在哪里?
学生思考并回答
七三课堂演示量筒的使用:
提问:
怎样用量筒测出形状不规则的项链的体积?先说出具体的步骤,然后实际操作。
强调:
(1)要把项链从量筒取出,最好先在项链上拴好细线。拴细线同样能让项链轻轻滑入量筒,避免损坏仪器。就是说实验还要注意安全,包括人身安全和仪器安全。为什么要用细线?一是便于放进去,取出来,二是误差小。
(2)把项链取出时,项链上会不会沾有水,这样会使测量的体积偏大还是偏小?
(3)注意到上面的三条,怎样改进实验步骤?
引导学生总结出测量固体体积的正确步骤:
(1)在量筒中加入适量的水,读出水的体积V₁;
(2)用细线拴好固体,轻轻放入量筒中,读出总体积V₂;
(3)计算出固体体积V=V₂-V₁。
测出物体的体积之后,引导学生进行下一步,固体密度的测量,让学生思考并说出步骤
测量小石块的密度
七三课堂演示测量小石块的密度:
引导学生思考:
(1)上述实验过程中有没有存在不足的地方?
(2)能不能先测量石块的体积再测量质量?
学生交流讨论回答
学生回答:
(1)石块没有拴上绳子缓慢放入
(2)如果先测小石块的体积,则小石块上会沾有水,测量它的质量会偏大。
测量盐水的密度
引导学生测量盐水的密度,设计方案
多数学生设计的实验步骤如下:
(1)用天平测出空烧杯的质量m₁;
(2)将盐水倒进烧杯,用天平测出装有盐水的烧杯的总质量m₂;
(3)将烧杯中的盐水全部倒入量筒中,读出盐水的体积V;
(4)计算出盐水的密度:
引导学生对上述实验过程进行了评估:
实验原理正确,实验器材使用恰当,操作过程规范,读数准确,计算无误,但得出的盐水密度是不准确的。因为在将盐水倒入烧杯的过程中,烧杯中的盐水不可能全部倒入量筒中,多多少少会有一点儿盐水沾在烧杯内壁上,导致测得的盐水体积V比实际的小,计算结果偏大。
注意到了上述因素,有同学提出了改进方案:
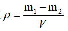
(1)用天平测出烧杯和盐水的总质量m₁;
(2)将适量的盐水倒入量筒中,测出盐水的体积V;
(3)用天平测出剩余盐水和量筒的质量m₂;
(4)计算出盐水密度:
七三课堂演示测量盐水的密度:
此方法在测量盐水密度的过程中,避免了盐水倒入烧杯中会残留的问题,倒入烧杯中的盐水的体积对应的质量即为烧和盐水杯的总质量减去剩余的盐水和烧杯的质量,减小误差。
五、教学反思
测量物质的密度这一课,学生使用量筒,学会量筒的使用还是能够做得比较好的,不过在测量盐水和石块的过程中,会出现对实验过程顺序不注重,直接通过密度公式,认为求出相应的质量和体积就可以测出物质的密度,这样往往纯在较大的误差。通过让学生自主思考讨论,设计实验步骤。一方面可以培养学生的自学能力,另一方面,通过这种技能的训练,培养学生注意观察事物和动脑思考问题的能力,以及严谨的科学作风。
课题老师:陈发通
教材变三维,学习变简单
长按/扫描识别下方二维码
可免费下载使用七三课堂哦
先!到!先!得!
▼▼▼

微信扫一扫
关注该公众号
下一篇:我的光线会转弯《光的折射》